avatar

Jacob Calvert

I’m a mathematician and data scientist. I’m interested in the relationship between the behavior of individuals and that of the collectives they comprise. Basic scientific questions concern the forward direction, such as “How do the properties of tissues emerge from those of cells?” Grand challenges of engineering concern the reverse, like “How should I design an individual robot so that the swarm has desirable collective behavior?” These questions lead to a rich interplay of statistical, computational, and physical elements, which makes them difficult and rewarding.

In August 2026, I’ll join the Department of Mathematical Sciences at the University of Delaware as an Assistant Professor. Currently, I’m a Postdoctoral Fellow at Georgia Tech, where I’m affiliated with the Institute for Data Engineering and Science (IDEaS) and the Algorithms and Randomness Center (ARC), a Visiting Postdoctoral Fellow at the Santa Fe Institute, and a Visiting Fellow in the Department of Mathematics at the London School of Economics. I spent Spring 2025 as the Berlekamp Postdoctoral Fellow at the Simons Laufer Mathematical Sciences Institute. For details on my background and experience as a professional data scientist, see About. For more on my research, check out my Google Scholar profile, Papers, or Posts.

News & Upcoming đź”—

Date Update
03/2026 I will give a talk in the Oxford Networks seminar.
02/2026 I accepted a tenure-track position in the Department of Mathematical Sciences at the University of Delaware!
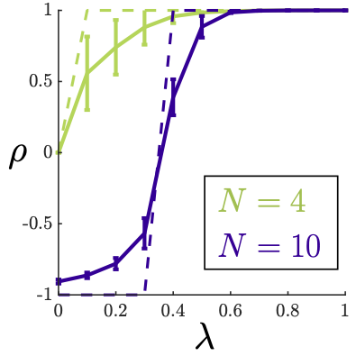
12/2025 My paper with Dana Randall on a correlational threshold in the Sherrington–Kirkpatrick model was published in Physical Review E.
11/2025 I am now a Visiting Fellow in the Department of Mathematics at the London School of Economics.
09/2025 I attended the Postdocs in Complexity Global Conference during a two-week visit to SFI.
08/2025 I gave a talk in the stochastics seminar at Georgia Tech.
06/2025 Siobhan Roberts wrote an article about my work at SLMath with Frank den Hollander and Dana Randall.
04/2025 I started a Visiting Postdoctoral Fellowship at SFI.
04/2025 I gave a talk in the Stanford probability seminar.
01/2025 I started a Berlekamp Postdoctoral Fellowship at SLMath for the program on the Probability and Statistics of Discrete Structures.
11/2024 I gave a seminar talk at SFI during a two-week visit. Thanks to James Holehouse for the invitation!
10/2024 My work with Dana Randall on a non-equilibrium analogue of the Boltzmann distribution was published in PNAS. See highlights by Georgia Tech and Phys.org.

Correlation thresholds in steady-state distributions

Dana Randall and I find thresholds in the local–global correlations exhibited by the steady-state distributions of a particle system and the dynamics of the Sherrington–Kirkpatrick spin glass.

Local–global correlations in reaction kinetics

In a new paper, Dana Randall and I identify conditions under which reaction kinetics on disordered energy landscapes exhibit high local–global correlation.

Markov chains with random transition rates

The stationary distribution of a continuous-time Markov chain is generally a complicated function of its transition rates. However, if the rates are i.i.d. random variables whose common distribution satisfies certain tail conditions, then the stationary distribution is essentially a simple function of the exit rates out of each state. This is the main result of a new preprint with Frank den Hollander and Dana Randall, which generalizes and makes a precise prediction by Chvykov et al. (2021) and settles a question raised by Bordenave, Caputo, and ChafaĂŻ (2012) under certain assumptions.

Programming hierarchical self-organization

A new preprint with Shunhao Oh and Dana Randall explains how to program simple computational “particles” of different types to self-organize into corresponding spatial regions that have a given hierarchical structure. The size, shape, and hierarchy of the regions are determined by the particles’ densities and affinities for particles of different types. Proving that the algorithm works requires new techniques for analyzing the Gibbs distributions of fixed-magnetization models from equilibrium statistical mechanics.

New preprint on rattling theory

Dana Randall and I generalize and prove the main claims of an emerging physical theory of nonequilibrium self-organization, called rattling theory, by interpreting its main claims in terms of Markov processes. The result is a principle that relates a local aspect of the dynamics to the global steady state. We apply it to random walks on random graphs, spin-glass dynamics, and models of ant colonies.